AI智能整理导入 AI智能整理导入
×
首页 题库中心 概率论与数理统计题库 题目详情
CB050A6918E0000147811E0617421F80
概率论与数理统计题库
252
简答题

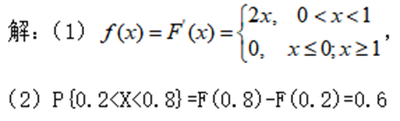
25计算题 设连续型随机变量X的分布函数为 。求:(1)X的概率密度f(x);(2)X落在区间(0.2,0.8)的概率。

答案解析

正确答案:答:

相关知识点:

连续变量分布及区间概率

概率论与数理统计题库

扫码进入小程序
随时随地练习

关闭
专为自学备考人员打造
试题通
自助导入本地题库
试题通
多种刷题考试模式
试题通
本地离线答题搜题
试题通
扫码考试方便快捷
试题通
海量试题每日更新
试题通
欢迎登录试题通
可以使用以下方式扫码登陆
试题通
使用APP登录
试题通
使用微信登录
xiaochengxu
联系电话:
400-660-3606
xiaochengxu