单选题
设某船的资本成本P,预计租赁N年、收益率为i,则船舶每年租赁费A为( ).
A
B
C
D
答案解析
正确答案:B
解析:
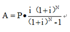
解析:本题考查年金法的运用。租金的计算经常采用的是每年资本费用或年金法。每年资本费用或年金法是用现金流量贴现技术确定每年的资本成本,将现金支出在船舶使用年限中进行分摊。这一方法的设计思想是使出租人在租赁期间的每年成本相同,据以确定应收租金额。其计算方法如下:设某船舶的资本成本为P,预计租赁N年,预计收益率为i,则该船舶每年租赁费为:
故此题正确答案为B。资金时间价值计算的基本系数
故此题正确答案为B。资金时间价值计算的基本系数相关知识点:
船舶租赁费用公式要记牢
相关题目
单选题
运输产品的数量性一般用( )反映.
单选题
铁路“五定”班列在开行一段时间后,由于各种原因,其需求有所减少,因此可相应减少此种列车的开行,这种策略属于( ).
单选题
运输产品的( )反映了运输产品的完成要跨越空间障碍,克服距离因素.
单选题
运输产品具有三维特性,即( ).
单选题
在运输需求增大且呈现多样化趋势时,运输企业可考虑( )产品组合策略.
单选题
影响和限制运输产品组合的因素主要有( ).
单选题
产品的整体概念基本上由三个层次组成,包括( ).
单选题
运输产品的核心功能与效用是( ).
单选题
运输产品的整体构成包括( ).
单选题
运输企业向旅客和货主提供产品信息的服务属于运输产品的( ).
