相关题目
单选题
盐酸普鲁卡因与药物受体的作用方式不包括
单选题
对映异构体产生相反活性的药物是
单选题
抗过敏药马来酸氯苯那敏其右旋体的活性高于左旋体是由于
单选题
去甲肾上腺素结构中的氨基在体内形成季铵盐后,与β2受体之间形成的主要键合类型
单选题
具有孤对电子,能吸引质子具有亲水性,而碳原子又具有亲脂性,因此具有该基团化合物可以在脂-水交界处定向排列,易于透过生物膜的是
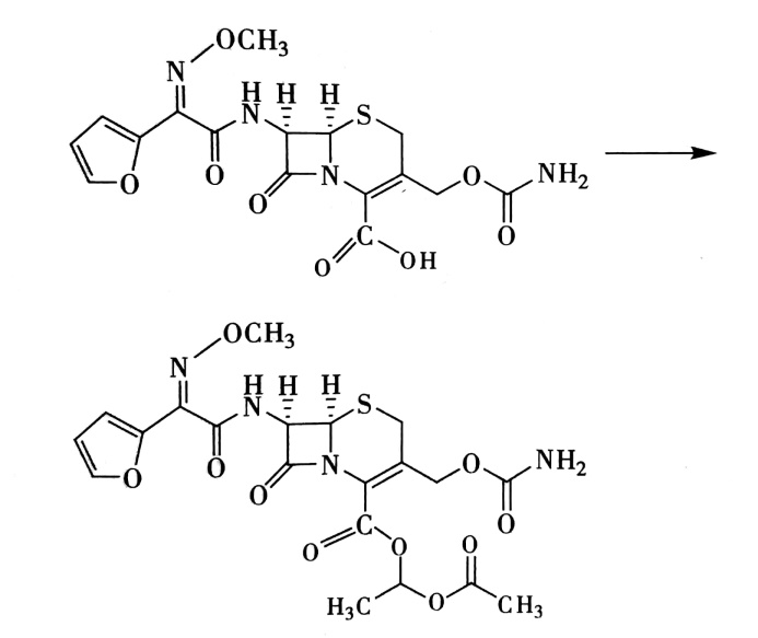
单选题
头孢呋辛属于第二代头孢菌素类药物,将其结构中2位羧酸做成乙酰氧基乙酯,得到头孢呋辛酯,其目的是
单选题
药物与靶点之间是以各种化学键方式结合,下列药物中以共价键方式与靶点结合的是
单选题
药物分子与机体生物大分子相互作用方式有共价键键合和非共价键键合两大类,以共价键键合方式与生物大分子作用的药物是
单选题
可以提高药物脂溶性的基团有
单选题
可酰化成酯,但其活性多降低的官能团是
