简答题
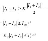
18.如下方程是主变压器比率制动式差动保护的动作方程组,请分析内部故障、外部故障、正常运行、空投主变肘的保护动作情况。
18.如下方程是主变压器比率制动式差动保护的动作方程组,请分析内部故障、外部故障、正常运行、空投主变肘的保护动作情况。
式中
——变压器两侧电流;
——二次谐波电流;
——差动最小动作电流;K——比率制动系数;
——谐波制动系数。
答案解析
正确答案:答:(1)变压器内部故障时,
都指向变压器,二次谐波电流小,动作方程组为
满足动作条件,变压器比率制动式差动保护动作。(2)变压器外部故障时,
一个指向变压器,一个背离变压器,
为不平衡电流,一般较小,由于采用了比率制动式差动保护,制动电流大,不满足动作方程,变压器比率制动式差动保护不会动作。(3)变压器正常运行时,
的理想情况为零,不满足动作方程,变压器比率制动式差动保护不会动作。(4)空投主变压器时,会有励磁涌流,含有很大二次谐波分量,不满足动作方程,变压器比率制动式差动保护不会动作。
都指向变压器,二次谐波电流小,动作方程组为
满足动作条件,变压器比率制动式差动保护动作。(2)变压器外部故障时,
一个指向变压器,一个背离变压器,
为不平衡电流,一般较小,由于采用了比率制动式差动保护,制动电流大,不满足动作方程,变压器比率制动式差动保护不会动作。(3)变压器正常运行时,
的理想情况为零,不满足动作方程,变压器比率制动式差动保护不会动作。(4)空投主变压器时,会有励磁涌流,含有很大二次谐波分量,不满足动作方程,变压器比率制动式差动保护不会动作。相关题目
单选题
1.线路保护四边形阻抗特性中的电阻线,其动作与否虽不反映什么“距离”,但就动作原理而论,与距离测量电压u:是相似的,仅仅是将互改用为电阻性的尺。而已。( )
单选题
221.由于助增电流(排除外汲情况)的存在,使距离保护的测量阻抗增大,保护范围缩小。( )
单选题
220.由于助增电流的存在,使距离保护的测量阻抗增大,保护范围缩小。( )
单选题
219.助增电流的存在,使距离保护的测量阻抗增大,保护范围缩短。( )
单选题
218.距离继电器能判别线路的区内、区外故障,是因为加入了带记忆的故障相电压极化量。( )
单选题
217.线路断路器合闸后正常运行(包括空充线路)时,突变量保护既能作为快速主保护( ),又能作为阶段式后备保护。( )
单选题
216.突变量保护中专门设有最简单的合闸于故障保护,这样做是基于认为手(重)合时只会发生内部故障。( )
单选题
215.线路横差保护由于可反应线路内任意一点的故障,且无时间元件,故属于全线速动的主保护。( )
单选题
214.方向横差保护存在相继动作区,同时在两相出口短路故障时存在动作死区。( )
单选题
213.近后备保护是当主保护或断路器拒动时,由相邻电力设备或线路的保护来实现的后备保护。( )
