相关题目
单选题
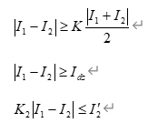
18.如下方程是主变压器比率制动式差动保护的动作方程组,请分析内部故障、外部故障、正常运行、空投主变肘的保护动作情况。
式中
——变压器两侧电流;
——二次谐波电流;
——差动最小动作电流;K——比率制动系数;
——谐波制动系数。
单选题
17.变压器的不正常运行状态有哪些?
单选题
16.电力变压器的不正常工作状态和可能发生的故障有哪些?一般应装设哪些保护?
单选题
15.对同步调相机保护的装设应考虑哪些特殊问题?
单选题
14.如何配置自耦变压器的接地保护?
单选题
13.对220~500kv变压器纵差保护的技术要求是什么?
单选题
12.对数字频率继电器应做哪些项目的检查?
单选题
11.备用电源自动投入装置应符合什么要求?
单选题
10.断路器失灵保护动作时间应按什么原则进行整定?
单选题
9.断路器失灵保护的启动应符合哪些要求?
