简答题
48.试画出工频变化量阻抗继电器在正向短路故障时的动作特性。并说明它保护过渡电阻的能力为什么有自适应功能(设保护反向阻抗为Zs,整定阻抗为Zsd)?
答案解析
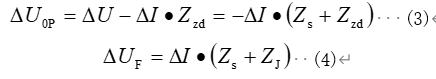
正确答案:答:工频变化量阻抗继电器在正向短路故障时的计算示意图及等效电路图如图2.28和图2.29所示。(1)工频变化量阻抗继电器的动作方程
(2)阻抗继电器在正向短路故障时
将式(3)、(4)代入式(1)得
经过变换后得
(6)由式(6)可画出此时得动作相量图,如图2-30。(3)考虑过渡电阻时
(7)从以上得分析可知,当保护背后电源运行方式最小(即
)时,
出增大,过渡电阻的附加阻抗Za也随之增大,所以在背后运行方式最小时过渡电阻的影响最大,内部短路时更易拒动。但其动作特性圆由于五的增大,使特性圆上的B点向第三象限移动(A点不动),特性圆的直径增大,特性圆在R轴方向上的分量随之增大,保护过渡电阻的能力也随之提高,因此说保护过渡电阻的能力有自适应功能。
(2)阻抗继电器在正向短路故障时
将式(3)、(4)代入式(1)得
经过变换后得
(6)由式(6)可画出此时得动作相量图,如图2-30。(3)考虑过渡电阻时
(7)从以上得分析可知,当保护背后电源运行方式最小(即
)时,
出增大,过渡电阻的附加阻抗Za也随之增大,所以在背后运行方式最小时过渡电阻的影响最大,内部短路时更易拒动。但其动作特性圆由于五的增大,使特性圆上的B点向第三象限移动(A点不动),特性圆的直径增大,特性圆在R轴方向上的分量随之增大,保护过渡电阻的能力也随之提高,因此说保护过渡电阻的能力有自适应功能。
相关题目
单选题
104.采用检无压、同期重合闸方式的线路,检无压侧不用重合闸后加速回路。( )
单选题
103.检同期重合闸的启动回路中,同期继电器的常闭触点应串联检定线路有压的常开触点。( )
单选题
102.断路器合闸后加速与重合闸后加速共用一个加速继电器。( )
单选题
101.综合重合闸装置在保护启动前及启动后断路器发合闸压力闭锁信号时均闭锁重合闸。( )
单选题
100.三相重合闸后加速和单相重合闸的后加速,应加速对线路末端故障有足够灵敏度的保护段。如果躲不开后合侧断路器合闸时三相不同期产生的零序电流,则两侧的后加速保护在整个重合闸周期中均应带0.1s延时。( )
单选题
99.单相重合闸时间的整定,主要是以保证第1I段保护能可靠动作来考虑的。( )
单选题
98.对采用单相重合闸的线路,当发生永久性单相接地故障时,保护及重合闸的动作顺序是:先跳故障相,重合单相,后加速跳单相。( )
单选题
97.自动重合闸时限的选择与电弧熄灭时间无关。( )
单选题
96.单侧电源线路所采用的三相重合闸时间,除应大于故障点熄弧时间及周围介质去游离时间外,还应大于断路器及操动机构复归原状准备好再次动作的时间。( )
单选题
95.配有两套重合闸的220kV线路,如果仅投入其中一套重合闸,另一套重合闸切换把手可以放在任意位置。( )
