相关题目
1791.(2019年真题)关于双代号时标网络计划的说法,正确的是()。
1790.(2019年真题)关于单代号网络计划绘图规则的说法,正确的是()。
1789.(2019年真题)关于如下横道图进度计划的说法正确的是()。
1788.(2019年真题)某工程持续时间2天,有两项紧前工作和三项紧后工作,紧前工作的最早开始时间分别是第3天、第6天(计算坐标系),对应的持续时间分别是5天、1天;紧后工作的最早开始时间分别是第15天、第17天、第19天,对应的总时差分别是3天、2天、0天。该工作的总时差是()天。
1787.(2019年真题)某装饰工程共有墙纸裱糊、墙面软包两项相互独立的施工过程,每项施工过程包括备料、运输、现场施工三项工作,墙纸裱糊各项工作的持续时间分别为2、1、6天,墙面软包各项工作的时间分别是3、2、4天;由于运输工具的限制,每天只能运输一项施工过程的材料,该装饰工程的最短施工工期是()。
1786.(2019年真题)某工程网络计划图如下,工作D的最迟开始时间是第()天。
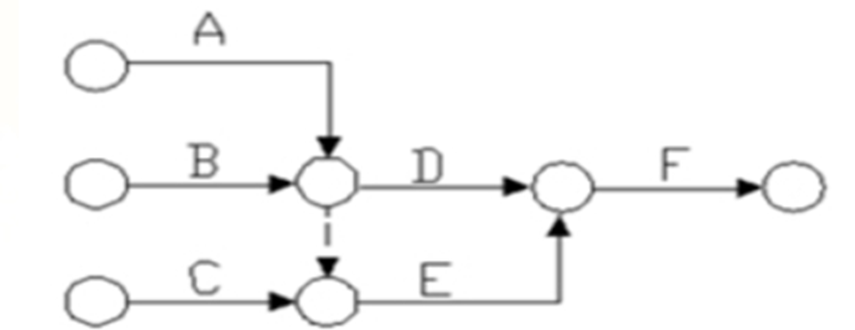
1785.由分部工程双代号网络计划如下图所示,则工作C的自由时差为()天。(2013)
1784.某工作间逻辑关系如下图,则正确的是()。2017
A:A、B均完成后同时进行C、DB:A、B均完成后进行DC:A、
1783.某双代号网络计划中,假设计划工期等于计算工期,且工作M的开始节点和完成节点均为关键节点。关于工作M的说法,正确的是()。(2016)
1782.某双代号时标网络计划如下图,工作G的最迟开始时间是第()天。
