练习中心
顺序练习
按照章节顺序依次练习所有题目,适合系统学习
组卷考试
随机抽取题目进行练习,适合巩固知识和检验学习效果
错题重做
针对做错的题目进行重点练习,强化薄弱环节
章节练习
选择特定章节进行练习,针对性提升某一知识点
收藏题目
集中练习收藏的重点题目,加深理解和记忆
考试记录
按题型或难度进行专项练习,突破学习瓶颈
题型练习
按照章节题型获取题目练习,适合系统学习
小练习
随机抽取题目练习
高频错题
按题目做错次数,加深记忆
题目预览
单选题
1、关于流量计描述正确的是
A
孔板流量计只能测量流体体积流量
B
转子流量计不适于测量腐蚀性流体
C
转子流量计不适于测量高温高压流体
D
孔板流量计测量流体时阻力损失小
单选题
2、离心泵工作原理以下正确的是
A
启泵前向泵壳内灌满所输送流体
B
输送液体流体在启泵前若存有气体则发生气蚀现象
C
离心泵均可输送腐蚀性流体
D
离心泵可输送粉末状固态流体
单选题
3、离心泵在运行过程中会有各种损失,以下正确的是
A
由于流体密度变化导致容积损失
B
由于高速旋转叶轮表面与液体之间摩擦,泵轴在轴承、轴封处机械摩擦造成机械损失
C
由于泵体泄露造成水力损失
D
由于叶轮通道中环流和旋涡造成容积损失
单选题
4、消除离心泵气蚀现象的正确方法是
A
增加安装高度
B
增加流体温度
C
减小流体流速
D
降低安装高度
单选题
5、关于齿轮泵描述正确的是
A
可用于输送粘稠液体
B
可用于输送含固体颗粒悬浮液
C
可输送大流量流体
D
可输送粉末状固体
单选题
1、流体静力学研究的是
A
流动流体内部各物理量的变化规律
B
静止流体内部的压力变化规律
C
流体相关管路各物理量变化规律
D
静止流体温度变化规律
单选题
2、表压、绝压和大气压三者关系正确的是
A
表压力=绝对压力-大气压力
B
绝对压力=表压力-大气压力
C
大气压力=绝对压力-表压力
D
表压力=大气压力-绝对压力
单选题
3、关于体积流量、质量流量下列描述正确的是
A
单位时间流过的体积为体积流量
B
单位时间流过的质量为质量流量
C
体积流量等于流体流速乘以流通截面积
D
质量流量等于流体流速乘以流体流通截面积
单选题
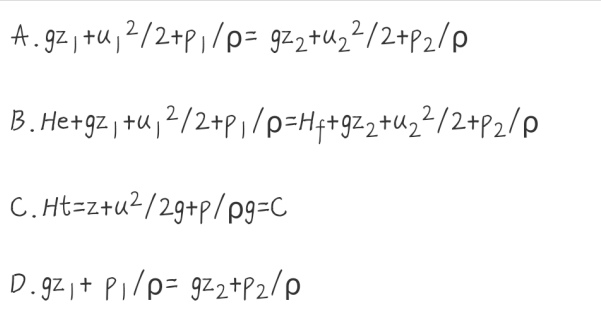
4、下列关于伯努利方程正确的是

A
A
B
B
C
C
D
D
单选题
5、离心式压缩机的优点是
A
压缩比小
B
制造精度要求高
C
体积大
D
流量大