练习中心
顺序练习
按照章节顺序依次练习所有题目,适合系统学习
组卷考试
随机抽取题目进行练习,适合巩固知识和检验学习效果
错题重做
针对做错的题目进行重点练习,强化薄弱环节
章节练习
选择特定章节进行练习,针对性提升某一知识点
轻松一刻
收藏题目
集中练习收藏的重点题目,加深理解和记忆
考试记录
按题型或难度进行专项练习,突破学习瓶颈
题型练习
按照章节题型获取题目练习,适合系统学习
小练习
随机抽取题目练习
题目预览
单选题
1.以下元素的全体不能够构成集合的是()
A
中国古代四大发明
B
地球上的小河流
C
方程x2-1=0的实数解
D
周长为10cm的三角形
单选题
2.下列各组对象能构成集合的是()
A
2023年参加“两会”的代表
B
北京冬奥会上受欢迎的运动项目
C
π的近似值
D
我校跑步速度快的学生
单选题
3.
A
{0}
B
{0,1}
C
{0,2}
D
{0,1,2}
单选题
4.
A
{1,2,3,4}
B
{1,2,3,4,5}
C
{0,1,2,3,4}
D
{0,1,2,3,4,5}
单选题
5.已知集合A={1,8,10,100},B={4,8,10,2025},则A∩B=()
A
{8,10}
B
{8}
C
{1,4,8,100}
D
{1,4,8,10,100,2025}
单选题
6.已知集合A={2,4,5,6},B={1,2,3,6,7,8},则A∩B=()
A
{1,2,4}
B
{2,6}
C
{1,2,3,4,5,6,7}
D
{2,3,4,5}
单选题
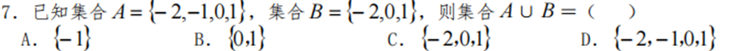
7.
A
A
B
B
C
C
D
D
单选题
8.
A
A
B
B
C
C
D
D
单选题
9.“xy>0”是“x>0,y>0”的()
A
充分条件
B
必要条件
C
充要条件
D
既不充分也不必要条件
单选题
10.设x∈R,则“x<-1”是“x>1”的()
A
充分条件
B
必要条件
C
充要条件
D
既不充分也不必要条件