练习中心
顺序练习
按照章节顺序依次练习所有题目,适合系统学习
组卷考试
随机抽取题目进行练习,适合巩固知识和检验学习效果
错题重做
针对做错的题目进行重点练习,强化薄弱环节
章节练习
选择特定章节进行练习,针对性提升某一知识点
收藏题目
集中练习收藏的重点题目,加深理解和记忆
考试记录
按题型或难度进行专项练习,突破学习瓶颈
题型练习
按照章节题型获取题目练习,适合系统学习
小练习
随机抽取题目练习
高频错题
按题目做错次数,加深记忆
题目预览
单选题
已知集合A={-1,0,1,2},B={x|0<x<3},则A∩B=( )
A
{-1,0,1}
B
{0,1}
C
{-1,1,2}
D
{1,2}
单选题
2.若集合A={x|x>-1},下列关系式中成立的为()
A
0⊆A
B
{0}∈A
C
∅∈A
D
{0}⊆A
单选题
3.已知3∈{2,a,a-1},则实数a的值为()
A
3
B
4
C
3或4
D
无解
单选题
4.设集合A={-1,0,-2},B={x|x2-x-6=0},则A∪B等于()
A
{-2}
B
{-2,3}
C
{-1,0,-2}
D
{-1,0,-2,3}
单选题
5.设集合U=R,M={x|x>2或x<-2},则∁UM等于()
A
{x|-2≤x≤2}
B
{x|-2<x<2}
C
{x|x<-2或x>2}
D
{x|x≤-2或x≥2}
单选题
6.已知集合U={1,2,3,4,5,6,7},A={3,4},B={6,7},则(∁UB)∩A等于()
A
{1,6}
B
{1,7}
C
{3,4}
D
{3,4,5}
单选题
7.集合A=
用区间表示为()
A
(-1,2]
B
[-1,2)
C
(-1,2)
D
[-1,2]
单选题
8.用区间表示
的解集是()
A
(-1,1)
B
C
D
单选题
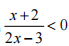
9.不等式
的解集是()
A
A
B
B
C
C
D
D
单选题
10.
的解集为()
A
A
B
B
C
C
D
D