相关题目
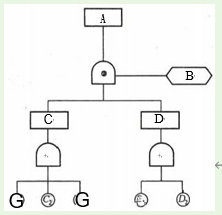
【多选】某故障树如下图所示,则属于该故障树最小径集的有( )。
【多选】某故障树有以下最小割集{X₁,X₂},{X₂,X₃,X₄},{X₄,X₅I 。 则在结构重要度分析中,用一次近似法得出的结论中正确的有()。
【多选】某公司聘请具有安全评价资质的评价机构对其所属的露天煤矿进行了安全评 价,评价公司拟采用作业条件危险性评价法,则该评价公司在评价过程中应用的“自 变量”内容包括( )。
【单选】某建筑工地发生一起工人高处坠落死亡事故。安全管理人员绘制的高处坠落事 故树如下图所示。其中,T 为顶上事件,P₁ 为安全带不起作用,P₂ 为工人高处失足, X₁为安全带设施损坏,X₂ 为工人的不安全行为,X₃ 为工作面打滑。则该故障树的最小 割集为( )。
【单选】某石油化工企业储罐区应用道化学爆炸指数法评价其火灾、爆炸危险性。该企 业石油储罐区内有储油罐10个,其中罐装柴油30t的4个,装有汽油20t的6个。经 查表得到一般工艺危险系数2.70,特殊工艺危险系数2.45,汽油物质系数16,柴油物 质系数10。则该企业储罐区火灾、爆炸指数为( )。
【单选】2023年,某化工企业新建一个储罐区,并聘请了具有相应资质的安全评价机 构对罐区的安全情况进行安全预评价。安全评价机构在对其潜在的火灾、爆炸危险及 反应性危险进行评价的过程中,有如下评价步骤:①确定火灾、爆炸指数;②确定暴 露区域内财产更换价值;③确定停产损失;④确定实际最大可能财产损失;⑤综合考 虑该企业储蓄罐区实际情况,选择储蓄罐为一个工艺单元。正确的评价顺序为 ( )。
【单选】故障树是一种描述事故因果关系的有方向的“树”,是系统安全工程中的重要 的分析方法之一。某煤矿掘进工作面瓦斯爆炸的故障树分析如下图所示,A 表示煤矿 掘进工作面瓦斯爆炸事故;B 表示氧气充足,且C 、D 事件相遇;C 表示瓦斯浓度为 5%~16%;D 表示一定的引火温度。C₁ 为局部通风机供风量不足,C₂ 为风筒漏风严重; C₃为局部通风机发生故障;D₁ 为电气起火,D₂ 为撞击、敲击产生火花。下列组合中, 能导致顶上事件(瓦斯爆炸)发生的是( )。
【单选】某企业拟新建化工项目,当前正处于可行性研究阶段,该公司希望通过对系统进行危险辨识,以确定工艺过程中是否存在安全风险,则该企业宜选择以下哪种分析方 法 ( )。
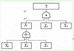
【单选】某矿山发生一起冒顶事故,死亡1人。安全管理人员绘制的冒顶事故树如下, 其中:T—顶上事件,A—现场判断失误,X₁— 巷道环境恶劣,X₂—敲帮问顶不够, X₃—顶板破碎,X₄— 打钻工不安全行为。根据事故树分析方法,下列原因中,属于造 成此次冒顶事故最基本原因的是( )。
【多选】事件树分析方法 (ETA) 的第二步是判定安全功能,即在所研究的系统中包 含许多能消除、预防、减弱初始事件影响的安全功能。下列属于初始事件作出响应的 安全功能措施的有( )。
