相关题目
单选题
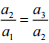
339.在数列{an}中,如果
,则数列{an}一定是等比数列.()
单选题
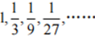
338.数列
的公比是3.()
单选题
337.在等比数列中任何一项都不能是零.()
单选题
336.数列2,4,8,16是等比数列.()
单选题
335.数列5,10,15,20是等比数列.()
单选题
334.已知三个连续偶数的和是90,则这三个连续偶数为28,30,32.()
单选题
333.前10个自然数0,1,2,…,9的和等于55.()
单选题
332.等差数列{an}中,a2+a3+a4可以表示为S3.()
单选题
331.由所有正奇数组成的数列,前n项和公式为Sn=n2.()
单选题
330.公差为正数的等差数列,不论n取何值,前n项和都大于零.()

表示为区间是().