相关题目
单选题
313
单选题
7237
单选题
66
单选题
6. 在一些整数中,挑选出个位数字和最高位数字相同的整数。
输入格式:
输入若干个整数,以空格分隔。
输出格式:
打印其中个位数字和最高位数字相同的整数。
若输入:23 45 66 7237 123 313 666 5
则输出:
单选题
5. 判断是否为酒后驾车。
如果规定,车辆驾驶员的血液酒精含量小于 20mg/100ml 不构成酒驾;酒精含量大于或等于 20mg/100ml 且小于80mg/100ml为酒驾;酒精含量大于或等于 80mg/100ml 为醉驾。
单选题
4. 从键盘输入学生的百分制成绩,将其转换为五分制输出。若输入分数大于100或小于0,输出“输入分数不正确”。
百分制与五分制之间的对应关系如下表。
单选题
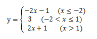
3. 计算下列分段函数的值,x为从键盘输入的一个任意实数。
单选题
2. 输入百分制的学生成绩,成绩大于或等于60的输出“pass”,否则输出“fail”。 若输入分数大于100或小于0,输出“输入分数不正确”。
单选题
4. 绘制一个回字形
单选题
3. 绘制一个无角的正方形。
