相关题目
单选题
有关二甲双胍,叙述正确的是
单选题
下列不属于芳构化酶抑制药的是
单选题
属于非甾体雌激素类药物,反式异构体与雌激素受体亲和力强,表现出与雌二醇相同的生理活性,临床使用反式异构体的药物是
单选题
对K+-ATP通道具有”快开”和”快闭”作用,起效快,作用时间短,餐时胰岛素迅速升高,餐后及时回落到基础分泌状态,被称为”餐时血糖调节剂”的降血糖药物有
单选题
属于二肽基肽酶-4抑制药的降糖药有
单选题
胰岛素分泌促进剂按其结构分为
单选题
下列属于天然雌激素的有
单选题
属于非磺酰脲类的降血糖药物有
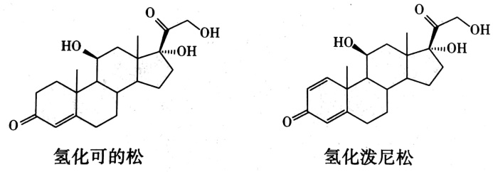
单选题
在氢化可的松结构基础上,1位引入双键,得到药物氢化泼尼松,由于A环几何形状从半椅式变为A平船式构象,其药理作用的变化是
单选题
双膦酸盐类药物的特点有






烷化剂类抗肿瘤药