AI智能推荐题库-试题通 AI智能整理导入题库-试题通
×
首页 题库中心 执业药师资格药学-药学专业知识(一)(官方) 题目详情
CA32E3546020000159B51EC0382B1679
执业药师资格药学-药学专业知识(一)(官方)
1,320
单选题

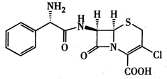
第四代头孢菌素是在第三代头孢菌素基础上3位改造得到的半合成抗生素,引入季铵基团能迅速穿透细菌细胞壁并与细菌细胞1个或多个青霉素结合蛋白结合,对大多数革兰阳性菌、革兰阴性菌有高度活性,并且对β-内酰胺酶稳定,根据第四代药物改造的特点,下列结构药物中属于第四代的是

A
 
B
 
C
 
D
 
E
 

答案解析

正确答案:D

解析:

解析:本题考查的是头孢菌素类药物。N+是季铵盐,D选项具有该特征。头孢菌素类抗生素

相关知识点:

第四代头孢菌素特点要牢记

题目纠错
执业药师资格药学-药学专业知识(一)(官方)

扫码进入小程序
随时随地练习

关闭登录弹窗
专为自学备考人员打造
勾选图标
自助导入本地题库
勾选图标
多种刷题考试模式
勾选图标
本地离线答题搜题
勾选图标
扫码考试方便快捷
勾选图标
海量试题每日更新
波浪装饰图
欢迎登录试题通
可以使用以下方式扫码登陆
APP图标
使用APP登录
微信图标
使用微信登录
试题通小程序二维码
联系电话:
400-660-3606
试题通企业微信二维码