相关题目
单选题
烷化剂环磷酰胺的结构类型是
单选题
属于嘌呤类抗代谢的抗肿瘤药物是
单选题
叶酸类抗代谢药物包括
单选题
甲氨蝶呤中毒时可使用亚叶酸钙进行解救,其目的是提供
单选题
作用于DNA拓扑异构酶Ⅱ的抗肿瘤药物
单选题
主要作用于聚合态的微管,可促进微管形成并抑制微管解聚,导致细胞在有丝分裂时不能形成纺锤体和纺锤丝,使细胞停止于G2/M期,抑制细胞分裂和增殖的抗肿瘤药是
单选题
5-HT3受体抑制剂,具有1,4-苯并嗯嗪和氮杂双环结构,可以止吐,用于对抗癌症病人化疗、放疗的恶心、呕吐的药物是
单选题
将紫杉醇10位碳脱乙酰基,13位的侧链上用特丁氧羰基取代苯甲酰基对3’-氨基进行修饰得到的水溶性比紫杉醇好,毒性较小,但抗肿瘤谱更广的药物是
单选题
作用于拓扑异构酶Ⅰ的抗肿瘤药物
单选题
属于酪氨酸激酶抑制剂的抗肿瘤药物是






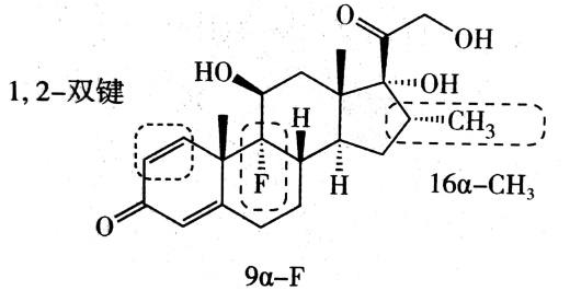
)标示的,为β取向化学键,用粗虚线(
)标示的,为α取向化学键,
甾体激素类药物