AI智能推荐题库-试题通 AI智能整理导入题库-试题通
×
首页 题库中心 执业药师资格药学-药学专业知识(一)(官方) 题目详情
CA32E3546020000159B51EC0382B1679
执业药师资格药学-药学专业知识(一)(官方)
1,320
单选题

磺酰脲类口服降糖药具有苯磺酰脲的基本结构,不同药物的苯环上取代基及脲基末端带有不同的取代基,这些取代基导致药物的作用强度及持续时间存在差别。脲基上引入八氢环戊烷并[C]吡咯,提高了降糖活性,半衰期10~12h,降糖作用可持续24h的药物是

A
 
B
 
C
 
D
 
E
 

答案解析

正确答案:B

解析:

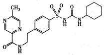
解析:本题考查的是降糖药。八氢环戊烷并[C]吡咯结构如图:降血糖药

相关知识点:

磺酰脲降糖药结构考点记清

题目纠错
执业药师资格药学-药学专业知识(一)(官方)

扫码进入小程序
随时随地练习

关闭登录弹窗
专为自学备考人员打造
勾选图标
自助导入本地题库
勾选图标
多种刷题考试模式
勾选图标
本地离线答题搜题
勾选图标
扫码考试方便快捷
勾选图标
海量试题每日更新
波浪装饰图
欢迎登录试题通
可以使用以下方式扫码登陆
APP图标
使用APP登录
微信图标
使用微信登录
试题通小程序二维码
联系电话:
400-660-3606
试题通企业微信二维码