AI智能推荐题库-试题通 AI智能整理导入题库-试题通
×
首页 题库中心 执业药师资格药学-药学专业知识(一)(官方) 题目详情
CA32E3546020000159B51EC0382B1679
执业药师资格药学-药学专业知识(一)(官方)
1,320
单选题

结构中不含有四氮唑环的血管紧张素Ⅱ受体阻断药是

A
 缬沙坦
B
 氯沙坦
C
 替米沙坦
D
 坎地沙坦酯
E
 厄贝沙坦

答案解析

正确答案:C

解析:

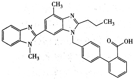
解析:本题考查的是替米沙坦的结构特征。其分子内不含有四氮唑环,含有两个苯并咪唑结构,四唑结构由羧基取代,仍然保持酸性。替米沙坦的结构为:抗高血压药
题目纠错
执业药师资格药学-药学专业知识(一)(官方)

扫码进入小程序
随时随地练习

关闭登录弹窗
专为自学备考人员打造
勾选图标
自助导入本地题库
勾选图标
多种刷题考试模式
勾选图标
本地离线答题搜题
勾选图标
扫码考试方便快捷
勾选图标
海量试题每日更新
波浪装饰图
欢迎登录试题通
可以使用以下方式扫码登陆
APP图标
使用APP登录
微信图标
使用微信登录
试题通小程序二维码
联系电话:
400-660-3606
试题通企业微信二维码