AI智能推荐题库-试题通 AI智能整理导入题库-试题通
×
首页 题库中心 执业药师资格药学-药学专业知识(一)(官方) 题目详情
CA32E3546020000159B51EC0382B1679
执业药师资格药学-药学专业知识(一)(官方)
1,320
单选题

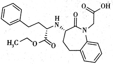
下列药物结构中含有苯并七元环结构的为

A
 卡托普利
B
 依那普利
C
 福辛普利
D
 赖诺普利
E
 贝那普利

答案解析

正确答案:E

解析:

解析:本题考查的是贝那普利的结构特征。贝那普利用苯并七元环的内酰胺环取代了经典”普利”类药物中的吡咯环。其结构为:抗高血压药

相关知识点:

含苯并七元环药物是贝那普利

题目纠错
执业药师资格药学-药学专业知识(一)(官方)

扫码进入小程序
随时随地练习

关闭登录弹窗
专为自学备考人员打造
勾选图标
自助导入本地题库
勾选图标
多种刷题考试模式
勾选图标
本地离线答题搜题
勾选图标
扫码考试方便快捷
勾选图标
海量试题每日更新
波浪装饰图
欢迎登录试题通
可以使用以下方式扫码登陆
APP图标
使用APP登录
微信图标
使用微信登录
试题通小程序二维码
联系电话:
400-660-3606
试题通企业微信二维码