AI智能推荐题库-试题通 AI智能整理导入题库-试题通
×
首页 题库中心 执业药师资格药学-药学专业知识(一)(官方) 题目详情
CA32E3546020000159B51EC0382B1679
执业药师资格药学-药学专业知识(一)(官方)
1,320
多选题

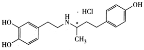
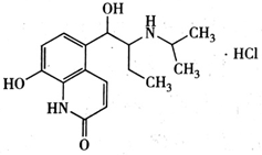
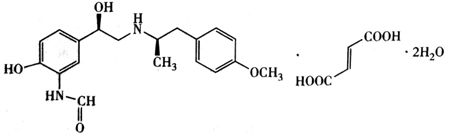
下列结构药物中属于β2受体激动药的是

A
 
B
 
C
 
D
 
E
 

答案解析

正确答案:BCE

解析:

解析:本题考查的是β2受体激动药的结构特点。选项中所给出的结构式分别为:盐酸多巴酚丁胺、硫酸特布他林、丙卡特罗、利美尼定、富马酸福莫特罗。BCE均为β2受体激动药。盐酸多巴酚丁胺A为选择性β1受体激动药,利美尼定D为唾唑啉类抗高血压药,是常用的α受体激动药。拟肾上腺素药

相关知识点:

β2受体激动药结构判断口诀

题目纠错
执业药师资格药学-药学专业知识(一)(官方)

扫码进入小程序
随时随地练习

关闭登录弹窗
专为自学备考人员打造
勾选图标
自助导入本地题库
勾选图标
多种刷题考试模式
勾选图标
本地离线答题搜题
勾选图标
扫码考试方便快捷
勾选图标
海量试题每日更新
波浪装饰图
欢迎登录试题通
可以使用以下方式扫码登陆
APP图标
使用APP登录
微信图标
使用微信登录
试题通小程序二维码
联系电话:
400-660-3606
试题通企业微信二维码