单选题
下列药物不属于α、β受体激动药的是
A
B
C
D
E
答案解析
正确答案:A
解析:
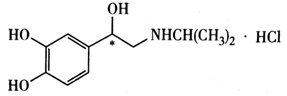
解析:本题考查的是肾上腺素受体激动药的结构特点。在一定范围内,侧链氨基上取代基的体积越大,对β受体的亲和力也越大。
为末端为异丙基取代的异丙肾上腺素,为非选择性的β受体激动药,能兴奋β1和β2受体,有松弛支气管平滑肌的作用,同时可兴奋心脏而加快心率,产生心悸、心动过速等较强的心脏副作用;异丙肾上腺素与肾上腺素的区别仅限于N原子上的取代基为异丙基。其余选项
为肾上腺素、
为多巴胺、
为麻黄碱、
为地匹福林,都是α、β受体激动药。拟肾上腺素药
为末端为异丙基取代的异丙肾上腺素,为非选择性的β受体激动药,能兴奋β1和β2受体,有松弛支气管平滑肌的作用,同时可兴奋心脏而加快心率,产生心悸、心动过速等较强的心脏副作用;异丙肾上腺素与肾上腺素的区别仅限于N原子上的取代基为异丙基。其余选项
为肾上腺素、
为多巴胺、
为麻黄碱、
为地匹福林,都是α、β受体激动药。拟肾上腺素药相关知识点:
α、β受体激动药药物判断口诀
题目纠错
