多选题
苯二氮䓬类镇静催眠药的构效关系包括
A
1,2位的酰胺键在酸性条件下易发生水解开环反应,引起药物失活
B
环的七元亚胺内酰胺环是活性必需基团
C
环的苯环2’位引入体积小的吸电子基团可使活性增强
D
B环的七元亚胺内酰胺环是活性必需基团
E
C环的苯环2’位引入体积小的吸电子基团可使活性增强
答案解析
正确答案:ABDE
解析:
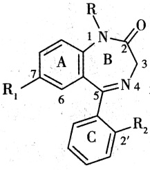
解析:本题考查的是苯二氮䓬类镇静催眠药的构效关系。该类药物的结构通式为:
其结构中A环可以被其他杂环置换,也可保持活性;B环的七元亚胺内酰胺环是活性必需基团;1,2位的酰胺键在酸性条件下易发生水解开环反应,引起药物失活,在该位置并上1,2,4-三氮唑环,可使稳定性和脂溶性增加,活性显著增加。3位引入羟基后活性降低,但副作用也降低;4,5位双键还原后活性降低。该双键在酸性条件下易水解开环失去活性,但在碱性条件下又重新关环恢复药效。C环的苯环2’位引人体积小的吸电子基团可使活性增强;7位有吸电子基团活性增加,引入大体积取代基及供电基均使活性下降。依替唑仑(
)具有很好的镇静催眠活性,其A环由苯环替换为乙基噻吩结构。镇静催眠药
其结构中A环可以被其他杂环置换,也可保持活性;B环的七元亚胺内酰胺环是活性必需基团;1,2位的酰胺键在酸性条件下易发生水解开环反应,引起药物失活,在该位置并上1,2,4-三氮唑环,可使稳定性和脂溶性增加,活性显著增加。3位引入羟基后活性降低,但副作用也降低;4,5位双键还原后活性降低。该双键在酸性条件下易水解开环失去活性,但在碱性条件下又重新关环恢复药效。C环的苯环2’位引人体积小的吸电子基团可使活性增强;7位有吸电子基团活性增加,引入大体积取代基及供电基均使活性下降。依替唑仑(
)具有很好的镇静催眠活性,其A环由苯环替换为乙基噻吩结构。镇静催眠药相关知识点:
苯二氮䓬构效记,酰胺环和吸电子
题目纠错
