AI智能推荐题库-试题通 AI智能整理导入题库-试题通
×
首页 题库中心 执业药师资格药学-药学专业知识(一)(官方) 题目详情
CA32E3546020000159B51EC0382B1679
执业药师资格药学-药学专业知识(一)(官方)
1,320
单选题

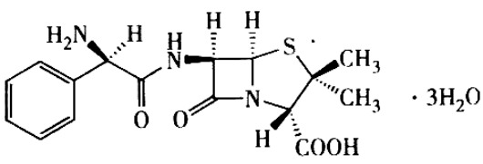
某药物化学名是6-[D-(-)-2-氨基-苯乙酰氨基]青霉烷酸三水合物,其对应的化学结构式为

A
 
B
 
C
 
D
 
E
 

答案解析

正确答案:A

解析:

解析:本题考查的是药物化学名。题干的化学名中含有”青霉烷酸”,说明是青霉素类药物,该类药物的母核是β-内酰胺环,故正确答案是A。涉及这种考法的题目,首先要求能掌握母核名称,并能识别出母核结构。药物与药物命名
题目纠错
执业药师资格药学-药学专业知识(一)(官方)

扫码进入小程序
随时随地练习

关闭登录弹窗
专为自学备考人员打造
勾选图标
自助导入本地题库
勾选图标
多种刷题考试模式
勾选图标
本地离线答题搜题
勾选图标
扫码考试方便快捷
勾选图标
海量试题每日更新
波浪装饰图
欢迎登录试题通
可以使用以下方式扫码登陆
APP图标
使用APP登录
微信图标
使用微信登录
试题通小程序二维码
联系电话:
400-660-3606
试题通企业微信二维码