相关题目
单选题
属于蒽醌类化合物的是().
单选题
专用于检识苯醌及萘醌的是( )
单选题
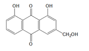
图
中所示中药主要化学成分类型是( )
单选题
丹参中脂溶性成分大多为共轭醌、酮类化合物,具有特征的橙黄和橙红色.如丹参酮Ⅰ、丹参酮Ⅱ
、丹参酮Ⅱ
、隐丹参酮等.具有减轻心肌、脑缺血再灌注损伤、抑制血小板凝聚和血栓形成等药理活性;主要用于治疗心脑血管疾病,如冠心病、高血压、脑卒中、动脉粥样硬化等疾病.如由丹参醌Ⅱ
制得的丹参醌Ⅱ
磺酸钠注射液已用于临床,用于治疗冠心病、心肌梗死.
可溶于碳酸钠水溶液的是( )
单选题
主要含有醌类成分的中药是( )
单选题
复方大承气汤由大黄、厚朴、枳实与芒硝组成,具有峻下热结功效,主治阳明腑实证.现代研究表明,该方具有泻下(增加肠容积)、抗菌、抗炎、抗内毒素、促进胃肠道运动及对肠梗阻的保护作用等药理作用,并认为该方抗菌的有效成分主要是蒽醌类物质.该方增加肠容积而表现出的泻下作用与哪个药物有关( )
单选题
《中国药典》中,虎杖含有的主要成分类型是( )
单选题
紫草素属于( )
单选题
丹香清脂颗粒的处方组成为丹参、川芎、桃仁、降香、三棱、莪术、枳壳、酒大黄等八味药,可活血化瘀、行气通络,用于高脂血症属气滞血瘀证者.
《中国药典》规定,该制剂需测定丹参酮IIA的含量.该成分的结构类型是( )
单选题
丹香清脂颗粒的处方组成为丹参、川芎、桃仁、降香、三棱、莪术、枳壳、酒大黄等八味药,可活血化瘀、行气通络,用于高脂血症属气滞血瘀证者.
该制剂中含有化学成分
的药味是( )
