相关题目
单选题
( )使输入量减小的反馈是负反馈,否则为正反馈。
单选题
( )电压负反馈稳定输出电压,电流负反馈稳定输出电流。
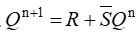
单选题
( )逻辑函数
单选题
( )二进制数(101110)B转换成8421BCD码为(01000110)8421。
单选题
( )寄存器、编码器、译存器、加法器都是组合电路逻辑部件。
单选题
( )逻辑函数
满足一定条件时存在两处竞争—冒险。
单选题
( )在逻辑电路中三极管即可工作在放大,饱和、截止状态。
单选题
( )单稳态触发器暂稳态维持时间的长短取决于外界触发脉冲的频率和幅度。
单选题
( )组合逻辑电路在任意时刻的输出不仅与该时刻的输入有关,,还与电路原来的状态有关。
单选题
( )N进制计数器可以实现N分频。




