相关题目
单选题
32·根据双代号网络图绘图规则,下图中的绘图错误是( )。
单选题
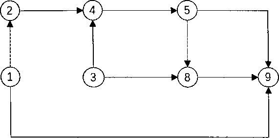
31·在如下图所示双代号网络图中,不存在的错误是( )。
单选题
30·双代号网络计划中虚工作的含义是指( )。
单选题
29·应用网络计划技术编制建设工程进度计划时,绘制网络图的前提是( )。
单选题
28·某工程由4个施工过程组成,分为4个施工段进行流水施工,其流水节拍见下表,则施工过程A与B、B与C、C与D之间的流水步距分别为( )。
单选题
27·某分部工程有3个施工过程,各分为4个流水节拍相等的施工段,各施工过 程的流水节拍分别为8d、6d、4d。如果组织加快的成倍节拍流水施工,则专业 工作队数和流水施工工期分别为( )。
单选题
26·某工程有6个施工过程,划分为3个施工段组织固定节拍流水施工,流水节 拍为2d,施工过程之间的组织间歇合计为4d。该工程的流水施工工期是( )
单选题
25·某分部工程有3个施工过程,分为4个施工段组织加快的成倍节拍流水施工, 各施工过程流水节拍分别是3d、6d, 9d则该分部工程的流水施工工期是( )。
单选题
24·下列流水施工参数中,属于工艺参数的是( )。
单选题
23·流水施工中某施工过程(专业工作队)在单位时间内所完成的工程量称为( )。
