相关题目
单选题
27.()一般属于一个单位所有,其易于建立、维护与扩展。
单选题
26.PowerPoint 2010 幻灯片编辑中,将已插入的音频,剪裁为20秒钟的片段播放,应该进行的操作在()。
单选题
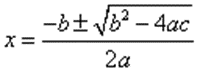
25.PowerPoint 2010 幻灯片编辑中,要在幻灯片中输入
,应该进行的操作在()。
单选题
24.在Excel 2010的工作表中,可以根据数据变化创建()。
单选题
23.Excel 2010是()。
单选题
22.在Word 2010中,欲将插入点移到文档首部,应按的快捷键是()。
单选题
21.在Word2010的编辑状态下,先后依次打开了aa.docx、bb.docx、cc.docx、dd.docx等4个文档,当前的活动窗口文档名为()。
单选题
20.在Windows 的MS-DOS模式下执行命令,下列说法正确的是()。
单选题
19.在Windows 中, “记事本”程序可生成的文件类型是()。
单选题
18.Windows中将信息传送到剪贴板不正确的方法是()。
