相关题目
单选题
146·零序、负序功率元件不反应系统振荡和过负荷。( )
单选题
145·比较两个电气量关系构成的继电器,可归纳为电气量的幅值比较和相位比较两类。( )
单选题
144·继电器按在继电保护中的作用,可分为测量继电器和辅助继电器两大类,而时间继电器是测量继电器中的一种。( )
单选题
143.在中性点不接地的变压器中,如果忽略电容电流,相电流中一定不会出现零序电流分量。( )
单选题
142.如果变压器中性点直接接地,且在中性点接地线流有电流,该电流一定是三倍零序电流。( )
单选题
141·中性点不接地系统中,单相接地故障时,故障线路上的容性无功功率的方向为由母线流向故障点。( )
单选题
140·当输送功率为IOMW的线路出现不对称断相时,因为线路没有发生接地故障,所以线路没有零序电流。( )
单选题
139·线路出现断相,当断相点纵向零序阻抗大于纵向正序阻抗时,单相断相零序电流小于负序电流。( )
单选题
138·当线路出现不对称断相时,虽然没有发生接地故障,但仍可能会有线路零序电流。( )
单选题
137·当线路非全相运行时,因为没有发生接地故障,所以线路没有零序电流。( )

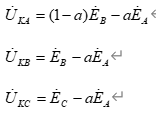
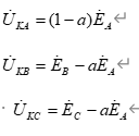
式中,a为中性点到接地故障点的匝数占每相---分支总匝数的百分比。接地相对地电压下降,未接地相对地电压上升,则故障点的零序电压为