简答题
3.某500kV主变压器220kV侧发生B相单相接地短路,B相断路器的两个灭弧室爆炸,220kV母差保护动作,跳开北母线上所连接的元件;220kV失灵保护动作,跳开南母线上所连接的元件;1秒后2号主变压器220kV过流保护动作,跳开2号主变压器各侧断路器。假设以上系统可以等效为图3—37;系统各元件序阻抗可等效为图3—38。(a)正、负序;(b)零序(1)计算短路三侧零序电流。(2)已知母联元件的相电流继电器A相粘连,分析各保护动作原因。
答案解析
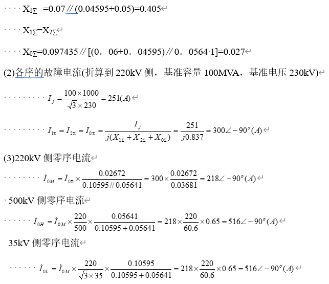
正确答案:答:(1)各序综合阻抗:
(4)保护动作情况分析:1)母差保护:此次故障发生在2号主变压器中压侧的断路器和电流互感器之问,属变压器差动保护范围之外,母线差动保护区内,220kV母差保护动作,跳开北母线上连接的元件。2)过流保护:母差保护动作后,由于2号主变压器仍通过500kV系统向故障点提供短路电流,2号主变压器过流保护动作,跳开2号主变压器各侧断路器,故障消失,上述保护动作行为正确。3)失灵保护A相母联相电流判别继电器接点粘连,满足了失灵保护动作的一个条件,当220kv北母母差保护动作后,2号主变压器中压侧电流互感器仍有故障电流流过,由于母差保护差电流回路中还有故障电流存在,造成母差保护北母差动选择继电器2XZJ仍处于动作状态,满足了失灵保护动作的第二个条件。220kv北母线切除后,南母线上的方东甲线仍通过达方甲线,木达甲、乙线,群木甲、乙线,500kV群方甲线向故障点提供短路电流,产生零序电压,造成失灵保护复合电压闭锁继电器动作,满足了失灵保护动作的第三个条件。由于上述原因,造成220kv失灵保护误动作。
(4)保护动作情况分析:1)母差保护:此次故障发生在2号主变压器中压侧的断路器和电流互感器之问,属变压器差动保护范围之外,母线差动保护区内,220kV母差保护动作,跳开北母线上连接的元件。2)过流保护:母差保护动作后,由于2号主变压器仍通过500kV系统向故障点提供短路电流,2号主变压器过流保护动作,跳开2号主变压器各侧断路器,故障消失,上述保护动作行为正确。3)失灵保护A相母联相电流判别继电器接点粘连,满足了失灵保护动作的一个条件,当220kv北母母差保护动作后,2号主变压器中压侧电流互感器仍有故障电流流过,由于母差保护差电流回路中还有故障电流存在,造成母差保护北母差动选择继电器2XZJ仍处于动作状态,满足了失灵保护动作的第二个条件。220kv北母线切除后,南母线上的方东甲线仍通过达方甲线,木达甲、乙线,群木甲、乙线,500kV群方甲线向故障点提供短路电流,产生零序电压,造成失灵保护复合电压闭锁继电器动作,满足了失灵保护动作的第三个条件。由于上述原因,造成220kv失灵保护误动作。相关题目
单选题
149·发生正方向不对称故障时,对正序电压为极化量的相间阻抗继电暑导,原点不在稳态阻抗特性圆内,对称性故障时动作特性恰好通过原点。( )
单选题
148·比相式阻抗继电器,不论是全阻抗、方向阻抗、偏移阻抗,抛球特性还是电抗特性,它们的工作电压都是U’=u一吗,只是采用了不同的极化电压。( )
单选题
147·在大接地电流系统中,线路始端发生两相金属性短路接地时,零序方向电流保护中的方向元件将因零序电压为零而拒动。( )
单选题
146·零序、负序功率元件不反应系统振荡和过负荷。( )
单选题
145·比较两个电气量关系构成的继电器,可归纳为电气量的幅值比较和相位比较两类。( )
单选题
144·继电器按在继电保护中的作用,可分为测量继电器和辅助继电器两大类,而时间继电器是测量继电器中的一种。( )
单选题
143.在中性点不接地的变压器中,如果忽略电容电流,相电流中一定不会出现零序电流分量。( )
单选题
142.如果变压器中性点直接接地,且在中性点接地线流有电流,该电流一定是三倍零序电流。( )
单选题
141·中性点不接地系统中,单相接地故障时,故障线路上的容性无功功率的方向为由母线流向故障点。( )
单选题
140·当输送功率为IOMW的线路出现不对称断相时,因为线路没有发生接地故障,所以线路没有零序电流。( )
