简答题
33.三绕组自耦变压器各侧电量之间的关系是什么?
答案解析
正确答案:答:三绕组白耦变压器原理接线如图3—5所示。
图中,
为串联绕组,
为公共绕组匝数,
为自耦变的第三绕组匝数。对于由
、
组成的变压器高、中压侧而言,变压器的一次绕组为
+
,二次绕组为
,自耦变的高、中压侧之间的变比为
或表示为
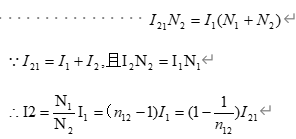
从高压、中压绕组的电流来看,则有
由此可得,高、中压侧容量(通常称之为额定容量)
公共绕组容量(也称之为计算容量)
由于
,所以公共绕组的容量小于高、中压绕组的容量,当
时,则自耦变的计算容量为额定容量的一半。自耦变的高、低压绕组和中、低压绕组之间的电量关系和普通磁耦合的关系一样。按中、低压绕组传输功率的关系看,由于公共绕组中只能通过电流
,2,故低压绕组的最大容量只能等于自耦变压器的计算容量,即
如果
,则
,即低压绕组只有高、中压绕组容量的一半。此时,高、中、低三侧的容量关系为1:1:0.5。
图中,
为串联绕组,
为公共绕组匝数,
为自耦变的第三绕组匝数。对于由
、
组成的变压器高、中压侧而言,变压器的一次绕组为
+
,二次绕组为
,自耦变的高、中压侧之间的变比为
或表示为
从高压、中压绕组的电流来看,则有
由此可得,高、中压侧容量(通常称之为额定容量)
公共绕组容量(也称之为计算容量)
由于
,所以公共绕组的容量小于高、中压绕组的容量,当
时,则自耦变的计算容量为额定容量的一半。自耦变的高、低压绕组和中、低压绕组之间的电量关系和普通磁耦合的关系一样。按中、低压绕组传输功率的关系看,由于公共绕组中只能通过电流
,2,故低压绕组的最大容量只能等于自耦变压器的计算容量,即
如果
,则
,即低压绕组只有高、中压绕组容量的一半。此时,高、中、低三侧的容量关系为1:1:0.5。相关题目
单选题
207.当线路出现非全相运行时,由于没有发生接地故障,所以零序保护不会发生误动。( )
单选题
206.零序电流保护可以作为所有类型故障的后备保护。( )
单选题
205.零序电流保护能反应各种不对称短路,但不反应三相对称短路。( )
单选题
204.零序电流保护不反应电网正常负荷、振荡和相问短路。( )
单选题
203.零序电流保护虽然作不了所有类型故障的后备保护,却能倪证在本线路末端经较大过渡电阻接地时仍有足够灵敏度。( )
单选题
202.零序电流保护的逐级配合是指零序电流保护各段的时间要严格配合。( )
单选题
201.零序电流保护逐级配合是指零序电流定值的灵敏度和时间都要相互配合。( )
单选题
200.在大接地电流系统中,为了保证各零序电流保护有选择性动作和降低定值,有时要加装方向继电器组成零序电流方向保护。( )
单选题
199.I0、I2a相的选相元件,当落入C区时,可能AB相故障。( )
单选题
198.为了使用户停电时间尽可能短,备用电源自动投入装置可以不带时限。( )
