相关题目
单选题
150.零序电流型横差保护能反应定子绕组的相间、匝间短路。( )
单选题
149.对于由基波零序电压元件及3次谐波电压元件共同构成的100%定子接地保护,为防止机端电压互感器断线引起基波零序电压元件误动,或中性点电压互感器二次开路引起三次谐波电压元件误动,故应将零序基波电压元件与三次谐波电压元件组成与门去启动信号或出口继电器。( )
单选题
148.3次谐波电压型定子单相接地保护,在发电机正常运行时,
不是永远成立的。( )
单选题
147.发电机正常运行时,其机端3次谐波电压大于中性点的3次谐波电压。( )
单选题
146.发电机定子单相绕组在中性点附近接地时,机端3次谐波电压大于中性点3次谐波电压。( )
单选题
145.基波零序电压定子单相接地保护的动作值整定为5V(二次值)时,经过渡电阻发生单相接地,将有5%的保护死区。( )
单选题
144.发电机定子接地保护中的基波零序电压取自机端压变,使该保护区分不了接地点(含绝缘降低)到底是在发电机内部还是外部;但它能区分接地点是在发电机电压网络还是非发电机电压网络。( )
单选题
143.发电机内部或外部发生单相接地故障时,一次系统出现对地零序电压
,此时发电机中性点电位也会升高至
。( )
单选题
142.发电机中性点处发生单相接地时,机端的零序电压为0V。( )
单选题
141.由于发电机运行时中性点对地电压接近为零,故发电机中性点附近不可能发生绝缘击穿。( )


将式(1)用对称分量来表示,则
式(2)和式(3)就是以电流和电压对称分量形式表示的故障点的边界条件。根据故障点的边界条件,可以将以A相为基准的各序网络连接成一个复合序网,如图1.12所示。
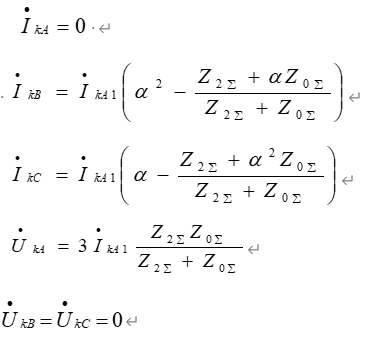
根据复合序网,可以求得故障点电电流和电压的各序对称分量为
利用对称分量法,可以求得故障点各相的全电流和全电压为
故障点的电流、电压相量图如图l—13、图1—14所示,母线电压相量图如图1—15所示。