相关题目
单选题
<32>水解盐类直接滴定法的判据是根据盐类由强(弱)酸弱(强)碱组成的解离度的大小。
单选题
<31>混合酸滴定可行性的判断依据是
。
单选题
<23>在分光光度法中,吸光度A的读数最好在0.2~0.7之间,读数误差最小。
单选题
<22>在分光光度分析中,选择适宜的背景扣除可减少分析误差。
单选题
<21>吸收池配套性目的是为减少测定结果的误差。
单选题
<20>可见分光光度计波长可用标准铬酸钾溶液校正。
单选题
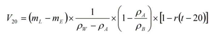
<19>玻璃容量仪器的衡量法校正的计算公式是
。
单选题
<18>玻璃量器是在20℃温度下检定的,因此在使用时要进行温度校正。
单选题
<17>玻璃容量仪器的校正只有衡量法。
单选题
<16>容量瓶校正时的干燥方法为自然干燥方法。
