相关题目
单选题
<498>关系式:y=bX+a,被称为一元一次线性回归方程。
单选题
<497>关系式:y=bX2+a,被称为一元一次线性回归方程。
单选题
<496>判断回归线是否有意义,除了主要靠专业知识外,在教学上,可借助一个叫相关系数
的量来帮明作出定量的判断。
单选题
<495>在吸光光度法中,标准溶液浓度对吸光度所绘成的标准曲线是直线关系,属于一元线性回归。
单选题
<494>回归分析不可以根据实验条件的变化和要求去预测实验结果,估计预测的精度等。
单选题
<493>在分析测试工作中,回归分析可以帮助确定实验结果和实验条件之间是否存在相关关系。
单选题
<492>回归分析是处理变量之间相关关系的数学工具。
单选题
<491>DNA芯片不能通过标记物进行检测。
单选题
<490>芯片技术被广泛应用于医疗中的各种疾病的早期诊断。
单选题
<489>在合成药物筛选微反应阵列式芯片可以进行高通量的药物筛选。

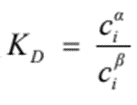
计算,式中:
表示某化合物在有机相中的浓度;
表示某化合物在水项中的浓度