相关题目
单选题
2241.某工作有且仅有两个紧后工作C、D,其中C工作最早开始时间为10(计算坐标系,下同),最迟完成时间为18,持续时间为5天;D工作最早完成时间为18,最迟完成时间为20,持续时间为6天;该工作与C工作间的时间间隔为2天,与D工作的时间间隔为4天,则该工作的总时差为()天。
单选题
2240.单代号搭接网络的时间参数计算时,若某项中间工作的最早开始时间为负值,则应当()。
单选题
2239.关于双代号网络计划说法正确的是()。
单选题
2238.某工程单代号网络图如下所示,其计算工期是()d。
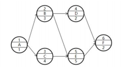
单选题
2237.某双代号网络计划如下图(单位:天),其中C工作的最迟开始时间为()d。
单选题
2236.某工程网络计划中,工作F的最早开始时间为第11天,持续时间为5天,工作F有三项紧后工作,它们的最早开始时间分别为第20天、第22天和第23天,最迟开始时间分别为第21天、第24天和第27天,则工作F的总时差和自由时差分别为()天
单选题
2235.在项目的实施阶段,项目总进度不包括()。
单选题
2234.建设工程项目总进度目标论证的工作包括:①项目结构分析:②编制各层进度计划:③进度计划系统的结构分析:④项目的工作编码。其正确的工作顺序是()。
单选题
2233.下列关于总进度目标论证的说法,正确的是()。
单选题
2232.建设工程项目总进度目标论证的工作包括:①编制各层进度计划;②项目结构分析;③编制总进度计划;④项目的工作编码。其正确的工作步骤是()。
