相关题目
3314.某双代号网络计划如下图所示,其关键线路有()条。(注:没有标持续时间的为虚工作,在这里持续时间为0)
3313.已知某工程施工承包商在项目开工前向业主提交的双代号网络计划如下图,其关键线路为()。
3312.网络计划中的关健工作是指()。
3311.某双代号网络计划中(以天为时间单位),工作k的最早开始时间为5,工作持续时间为4;工作M的最迟完成时间为22,工作持续时间为10;工作N的最迟完成时间为20,工作持续时间为5。己知工作K只有M、N两项紧后工作,工作k的总时差为()天。
3310.某工程网络计划中,工作S的紧后工作有A、B、C,工作A的最早开始时间和最迟开始时间分别为第9天和第14天,工作B的最早开始时间和最迟开始时间分别为第10天和第16天,工作C的最早开始时间和最迟开始时间分别为第11天和第15天,工作S的自由时差为5天,则工作S()。
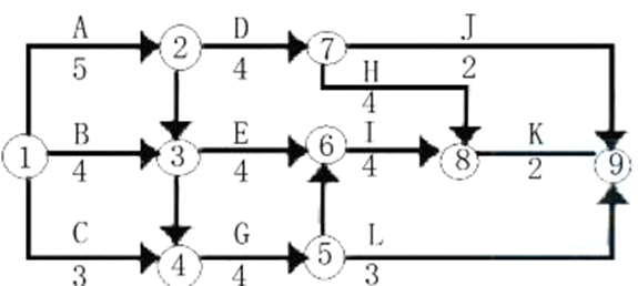
3309.某工程双代号网络计划如下图所示,其关键线路有()条。
3308.已知工作F有且仅有两项并行的紧后工作G和H,G工作的最迟开始时间为第12天,最早开始时间为第8天;H工作的最迟完成时间为第14天,最早完成时间为第12天;工作F与G、H的时间间隔分别为4天和5天,则F工作的总时差为()天。
3307.某工程双代号网络图如下图所示,箭头下方的数字表示工作的持续时间(单位:天),则工作E的总时差和自由时差分别为()。
3306.单代号网络计划工作A最早开始时间(ES1)、最早完成时间(EF1)和工作持续时间如右图所示,则工作B的最早开始时间(ES2)和最早完成时间(EF2)分别为()。
3305.已知某单代号工程网络计划中工作M的紧后工作是K和L,工作K的最迟开始时间为16,最早开始时间为12;工作L的最迟完成时间为18,最早完成时间为15;工作M的持续时间为6天,自由时差为3天,则工作M的总时差为()天。
