相关题目
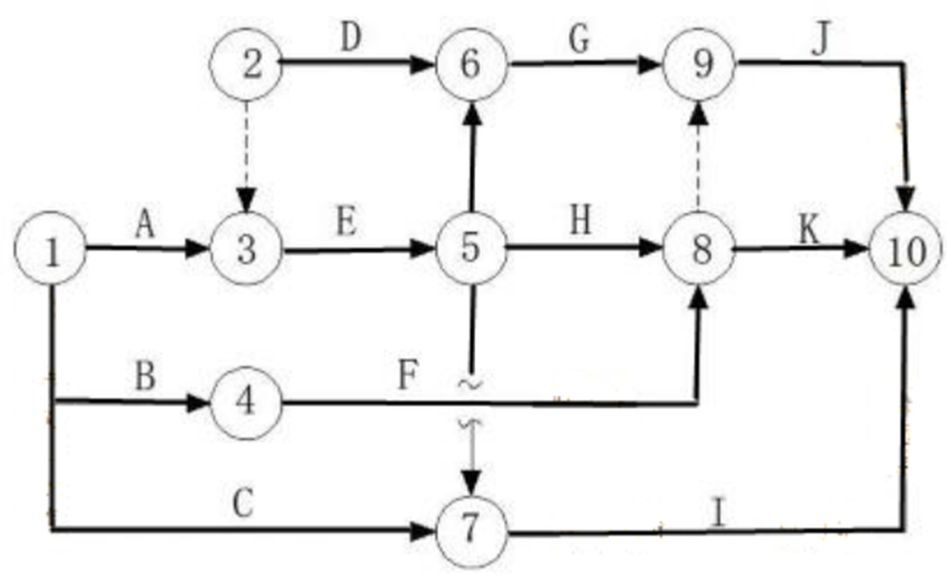
单选题
268.某分部工程双代号时标网络计划如下图所示,该计划所提供的正确信息有()。
单选题
267.在双代号时标网络计划中,()。
单选题
266.(2020年真题)下列双代号网络图中,存在的绘图错误有()
单选题
265.(2019年真题)关于双代号网络计划中线路的说法,正确的有()。
单选题
264.某单代号网络图如下图所示,存在的错误有()。
单选题
263.某双代号网络计划如下图,绘图的错误有()。2018真题
单选题
262.某双代号网络计划如下图(图中粗实线为关键工作),若计划工期等于计算工期,则自由时差一定等于总时差且不为零的工作有()。2017
单选题
261.某工程工作逻辑关系如下表,C工作的紧后工作有()。2017
单选题
260.某工程项目的双代号时标网络计划,当计划执行到第4周末及第10周末时,检查得出实际进度前锋线如下图所示,检查结果表明()。(2015真题)
单选题
259.在双代号网络图中,虚箭线的作用有()。(2015真题)
