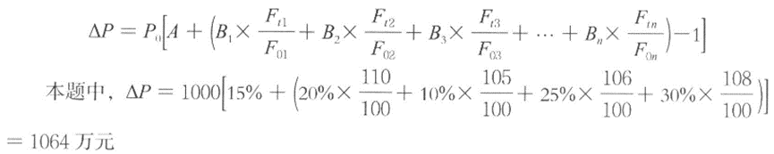
3858.某工程约定当价格波动超过一定范围时根据价格调整公式调整合同价。已知小调整部分占合同总价的15%,可以调整部分有人工费、运输费、钢筋价格、混凝土价格,其占合同总价的比例分别为20%、10%、25%和30%。基准日期的价格指数均为100,结算时采用的价格指数分别为110、105、106、108。若结算当月完成的合同额1000万元,则调整后的合同金额为()万元。
答案解析
解析:

相关知识点:
价格调整公式算合同金额
相关题目
1645.实行工程量清单计价的招标工程,投标人可完全自主报价的是()。2017真题
1644.(2020年真题)根据《建设工程量清单计价规范》,投标人可以根据需要自行增加列项的清单是()。
1643.(2019年真题)根据专业工程《计量规范》编制招标工程量清单时,有两种不同截面的现浇混凝土矩形柱,一种是400mm×400mm,另一种是600mm×400mm,混凝土强度均为c30,其余特征相同。则在编制清单时这两个矩形柱的清单项应()
1642.根据《建设工程工程量清单计价规范》(GB50500-2013),不能列入其他项目清单的是()。(2016)
1641.根据《建设工程工程计价规范》(CB505000-2013),编制工程量清单时,计日工表中的人工应按()列项。(2015)
1640.根据《建设工程工程量清单计价规范》(GB50500-2013),下列费用可用暂列金额支付的是()(2016)
1639.根据《建设工程工程量清单计价规范》(GB50500-2008),垂直运输机械费应列在()中。(2012)
1638.根据《建筑工程工程量清单计价规范》(GB50500-2013),关于分部分项工程量清单中工程量计算的方法,正确的是()(2016)
1637.招标人编制工程量清单时,对各专业工程现行(计量规范)中未包括的项目应作补充,则关于该补充项目及其编码的说法,正确的是()。(2015)
1636.根据《建筑工程工程量清单计价规范》(GB50500-2013),关于分布分项工程量清单中项目名称的说法,正确的是()(2016)
