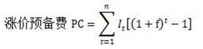
900.某建设工程项目在建设初期估算的建筑安装工程费、设备及工器具购置费为5000万元,按照项目进度计划,建设期为2年,第1年投资2000万元,第2年投资3000万元,预计建设期内价格总水平上涨率为每年5%,则该项目的涨价预备费估算是()万元。
答案解析
解析:
n
nnnnn该项目建设期的涨价预备费=100+307.5=407.5(万元)nn因此,本题正确答案为C项。@##相关知识点:
涨价预备费计算方法记心间
相关题目
581.根据《标准施工招标文件》,下列事件中,承包人向发包人既可索赔工期又可索赔费用的有()。(2014)
580.施工过程中,可以作为工程量计量依据的资料有()(2016)
579.根据《建设工程工程量清单计价规范》(GB50500-2013)工程变更引起施工方案改变并使措施项目发生变化时,关于措施项目费调整的说法,正确的有()。(2015)
578.根据《建设工程施工合同(示范文本)》,关于变更权的说法,正确的有()。2018真题
577.根据《建设工程工程量清单计价规范》GB50500-2013,关于单价合同工程计量的说法,正确的有()。2017真题
576.(2019年真题)下列材料中,属于编制招标控制价和投标报价的共同依据的有()。
575.下列资料中,属于编制招标工程量清单和招标控制价共同依据的有()。2017真题
574.工程量清单招标时,投标人编制投标报价前应认真复核工程量清单中的分部分项工程量,因为该工程量会影响()(2016)
573.根据《建设工程工程量清单计价规范》,关于单价项目中风险及其费用的说法,正确的有()。2018真题
572.施工企业拟投标一个单独招标的分部分项工程项目,清单工程量为10000m3。企业经测算完成该部分分项工程施工直接消耗的人、料、机费用为200万元(不含增值税进项税额)。2017真题估计管理费为16万元,风险费用2万元,利润30万元。为完成该分部分项工程的措施项目费估计为24万元(其中安全文明施工费18万元)(不含增值税进项税额)。2017真题估计全部规费29万元,税金9万元。不考虑其他因素,关于该分部分项工程的说法正确的有()。2017真题
