相关题目
单选题
1758.甲公司所有人员招聘都必须经总经理审批,由总经理决定应聘人员是否录用。现总经理希望将这一决策权授权给人事部经理独自完成,以下做法恰当的是:
单选题
1757.如用人单位希望对应聘者执行背景调查,以下最恰当的做法是:
单选题
1756.甲公司连年亏损,为了扭转该局面,甲公司管理层指定了详细的三年扭亏计划,其中第一年的销售任务非常繁重,分派到每名销售人员名下的销售指标都很难完成,这是销售部经理适宜采用的领导方式是:
单选题
1755.某公司在世界各地拥有多家分、子公司,每个国家设置1-2名内部审计师,总部设有一名内部审计经理。每周固定时间,由该名内部审计经理组织电话会议,讨论本周内审工作成果。这种团队形式是:
单选题
1754.随着全球经济的不断发展,企业间的竞争日益延伸到全球范围,这种环境下企业最应采取的竞争战略是:
单选题
1753.有些情况下激发冲突是有建设性作用的,以下不是激发冲突方法的是:
单选题
1752.在以下项目周期的阶段中,最需要获得高级管理层支持的是:
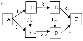
单选题
1751.某车间对项目的管理采用关键路径法,其生产工序及所需时间如下图,字母表示工序,数字表示工序所需时间,单位是小时,则完成全部工序所需的最短时间是:
单选题
1750.某车间对项目的管理采用关键路径法,其生产工序及所需时间如下图,字母表示工序,数字表示工序所需时间,单位是小时,不能有任何延误的是:
单选题
1749.在项目进度管理中,利用概率计算活动周期的项目管理方法是:
