1975.已知某种商品这个月上旬的库存量(单位:台)记录,如表1所示。则该商品上旬的平均日库存量为()台。rn表1rn
答案解析
解析:
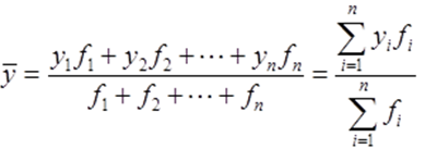
rn式中,yi为各时点的指标值;fi为指标值的持续天数。该商品上旬的平均日库存量=(20×3+10×5+40×2)/10=19(台)。相关知识点:
商品上旬库,平均日库存算法记
相关题目
1988.某城市中家庭在2008年的收入为10万元,2016年的收入为36万元,以2008年为基期,则这个家庭收入的平均发展速度是()。
1987.已知各期环比增长速度按时间先后依次为3%,6%,4%,8%,则相应的定基增长速度的计算方法为()。
1986.以2006年为基期,某企业2007、2008年销售收入的定基发展速度分别是125.6%和140.5%,则2008年与2007年相比的环比增长速度是()。
1985.已知某地区2002-2006年社会消费品零售总额的环比增长速度分别为4%、6%、9%、10%,则这一时期该地区社会消费品零售总额的定基增长速度为()。
1984.“十一五”期间,北京市城乡居民人均可支配收入年均增长8%以上,这是()。
1983.定基发展速度等于相应时期的各环比发展速度()。
1982.计算平均发展速度通常用()。
1981.平均增长速度与平均发展速度的数量关系是()。
1980.以2000年为基期,我国2002年、2003年广义货币供应量的定基发展速度分别是137.4%和164.3%,则2003年与2002年相比的环比发展速度是()。
1979.以2000年为基期,某国家国内生产总值2006年、2007年的定基发展速度为105%、110%,则2007年相对于2006年的环比发展速度为()。
