单选题
1170.如果与可支配收入无关的消费为300亿元,投资为400亿元,边际储蓄倾向为0.1,那么,在两部门经济中,均衡国民收入水平为()亿元。
A
770
B
4300
C
3400
D
7000
答案解析
正确答案:D
解析:
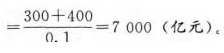
解析:根据收入恒等于支出的原理:均衡国民收入=消费+投资+政府购买+净出口,将消费函数代入收入恒等式.均衡国民收入=(自发消费+边际消费倾向×均衡国民收入)+投资+政府购买+净出口。本题中,仅涉及两部门,故没有政府购买和净出口。均衡国民收入=300+(1-0.1)×均衡国民收入+400,均衡国民收入

相关知识点:
两部门求均衡,收入七千记清
题目纠错
相关题目
单选题
208.金融监管是指一国的金融管理部门为达到稳定货币、维护金融业正常秩序等目的,依照国家法律、行政法规的规定,对金融机构及其经营活动采取一系列行为,主要包括()。
单选题
207.下列关于各类型金融危机之间相互关系的说法,正确的有()。
单选题
206.通常情况下,发生债务危机的国家具有的特征有()。
单选题
205.金融风险的基本特征有()。
单选题
204.票据市场最主要的子市场包括()。
单选题
203.关于我国存款保险制度的说法,正确的有()
单选题
202.关于商业银行中间业务的说法,正确的有()。
单选题
201.下列业务中,属于商业银行借款业务的有()。
单选题
200.下列金融业务中,属于商业银行中间业务的有()。
单选题
199.商业银行的资产业务包括()。
