相关题目
单选题
862.商业银行的负债业务主要包括()。
单选题
861.按照用途的不同,商业银行的贷款可以划分为()。
单选题
860.按照业务经营范围,商业银行的组织形式可以分为()。
单选题
859.下列属于商业银行中间业务的是()
单选题
858.商业银行与非银行金融机构比较,其主要的区别表达正确的是()。
单选题
857.下列属于外来资金的负债业务资金来源的有()。
单选题
856.根据《存款保险条例》的规定,被保险的存款不包括()。
单选题
855.下列关于商业银行的经营管理原则表述正确的有()。>下列关于商业银行的经营管理原则表述正确的有()。"
单选题
854.商业银行的中间业务包括()。
单选题
853.商业银行的组织形式按机构设置分类分为()。

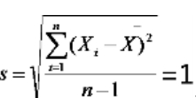
rn这7个子公司客户满意度指数的样本标准差是()。

rn