相关题目
单选题
5.在应用因果分析图确定质量问题的原因时,正确做法是( )。
单选题
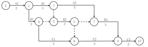
4.某分部工程双代号网络计划如下图所示(时间单位:天)。若计划工期等于计算工期,关于工作时间参 数的说法,正确的是( )。
单选题
3.计数标准型一次抽样方案为(N、n、c),其中N 为送检批的大小,n 为抽检样本大小,c 为合格判定数, 当从 n 中查出 d 个不合格品时,若( ),应判该送检批合格。
单选题
2.下列施工准备阶段的质量控制工作中,属于施工技术准备的是( )。
单选题
1.我国实行建筑企业资质管理制度、建造师执业资格注册制度、管理人员持证上岗制度,都是对建筑工程 项目质量影响因素中( )的控制。
单选题
2024 年二级建造师《建设工程施工管理》模拟试卷( )
单选题
20.工程质量统计分析中,应用控制图分析判断生产过程是否处于稳定状态,可判断生产过程为异常的情形 有( )。
单选题
19.在检验批量为N的一些产品中进行二次抽样检验,随机抽取n1件产品进行检验。发现n1 中的不合格数为d1, 则( )。
单选题
18.下列关于固定节拍流水施工特点的说法中,正确的有( )。
单选题
17.初步评审属于对投标文件的合格性审查,评审内容包括( )。
