简答题
2)地基处理()槽底局部超挖或发生扰动时, 超挖深度不超过150mm时,可用挖槽原土回填夯实,其压实度不应低于原地基 土的密实度;槽底地基土壤含水量较大,不适于压实时,应采取换填等有效措施。()排水不良造成地基土扰动时,扰动深度在100mm以内,宜填天然级配砂石或砂砾处理;扰动深度在300mm以 内,但下部坚硬时, 宜填卵石或块石, 并 用砾石填充空隙找平表面。()柔性管道地基处理宜采用砂 桩、搅拌桩等复合地基。()岩石地基局部超挖时,应将基底碎渣全部清理,回填低强度等级混凝土或回填粒径10~15mm的砂石并夯实。()原状地基为岩石或坚硬土层时, 管道下方应铺设砂垫层。 8.沟槽回填
答案解析
正确答案:23578
相关题目
单选题
77.根据国家九部委《标准施工招标文件》,下列工作中,属于承包人主要义务的有( )。
单选题
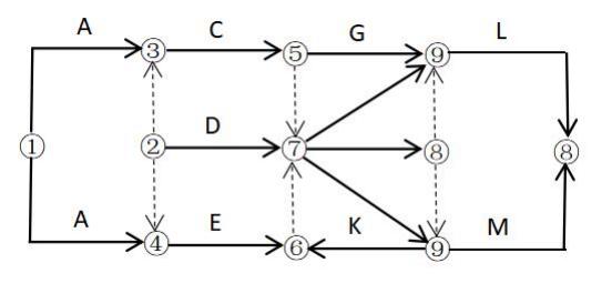
76.某工程双代号网络计划如下图,存在的绘图错误有( )。
单选题
75.根据国家九部委《标准施工招标资格预审文件》,资格预审文件的内容包括( )。
单选题
74.根据现行绿色施工评价标准,施工现场污水排放应符合的规定包括( )。
单选题
73.下列施工成本的纠偏措施中,属于经济措施的有( )。
单选题
72.下列措施中,属于施工质量事故预防措施的有( )。
单选题
71.下列施工进度控制工作中,属于监测系统过程的有( )。
单选题
70.关于竣工图编制要求的说法,正确的有( )。
单选题
69.在编制流水施工进度计划时,划分施工段应遵循的原则有( )。
单选题
68.根据《环境管理体系要求及使用指南》,领导作用在环境管理体系中处于核心地位,这里的“领导作用 ” 包括( )。
