扫码进入小程序随时随地练习
14.Molisch反应的试剂组成是()
13.下列有关苷键酸水解的论述,错误的是()
12.大多数β-D-苷键端基碳的化学位移在()
11.确定苷类结构中糖的种类最常用的方法是在水解后直接用()
10.将苷的全甲基化产物进行甲醇解,分析所得产物可以判断()
9.大多数β-D-和α-L-苷端基碳上质子的偶合常数为()
8.在天然界存在的苷多数为()
7.糖及多羟基化合物与硼酸形成络合物后()
6.糖的纸色谱中常用的显色剂是()
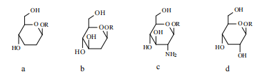
5.下列几种糖苷中,最易被酸水解的是()A〉B〉D〉C。
为了提高加载速度和练习体验,每3000道题目分为一段,请选择您要练习的分段:
请选择您要练习的章节,系统将加载该章节下的所有题目:
请设置各类题型的数量和分值,系统将随机抽取题目生成试卷:
提示:非会员最多300题,会员最多1000题
以下是您的考试记录,点击可查看详情: